Более 1000 домов будут без тепла до конца сезона: в КГГА опубликовали полный перечень адресов

В Киеве более тысячи домов в Дарницком и Днепровском районах остались без тепла.

Отопление

Отопление

Дополнено новыми материалами

Из-за последствий российской атаки в Киеве более 1000 жилых домов будут оставаться без теплоснабжения до завершения текущего отопительного сезона.

Об этом сообщили в КГГА.

Городские власти обнародовали полный список адресов в Дарницком и Днепровском районах, где подача тепла невозможна из-за критических повреждений Дарницкой ТЭЦ. По информации городских властей, масштаб разрушений на энергообъекте не позволяет восстановить услугу в ближайшие месяцы.

Обнародованный перечень содержит конкретные адреса, по которым жителям не стоит ожидать восстановления отопления этой зимой. Полный список адресов опубликован на официальных ресурсах КГГА по ссылке.

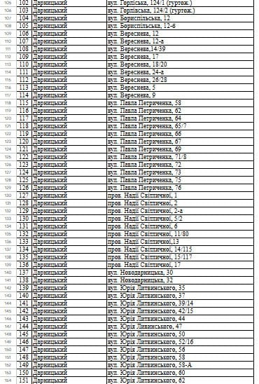
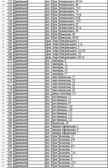
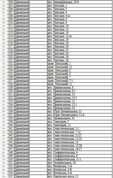
Какие дома в Киеве будут без отопления — список адресов

Список адресов, где не будет отопление к концу сезона / © Скриншот

Список адресов, где не будет отопление к концу сезона / © соцмережі

Список адресов, где не будет отопление к концу сезона

Список адресов, где не будет отопление к концу сезона

Список адресов, где не будет отопление к концу сезона

Список адресов, где не будет отопление к концу сезона

Список адресов, где не будет отопление к концу сезона

Список адресов, где не будет отопление к концу сезона

Список адресов, где не будет отопление к концу сезона

Список адресов, где не будет отопление к концу сезона

Список адресов, где не будет отопление к концу сезона

Список адресов, где не будет отопление к концу сезона

Список адресов, где не будет отопление к концу сезона

Список адресов, где не будет отопление к концу сезона

Список адресов, где не будет отопление к концу сезона

Список адресов, где не будет отопление к концу сезона

Список адресов, где не будет отопление к концу сезона

Список адресов, где не будет отопление к концу сезона

Список адресов, где не будет отопление к концу сезона

Список адресов, где не будет отопление к концу сезона

Список адресов, где не будет отопление к концу сезона

Список адресов, где не будет отопление к концу сезона

Список адресов, где не будет отопление к концу сезона

Что предшествовало

В ночь на 3 февраля Россия совершила массированную атаку на энергосистему Украины, целясь в ТЭЦ и ТЭС во время рекордных морозов -25°C. Без теплоснабжения остались сотни тысяч семей.

В результате массированного обстрела украинской энергетической инфраструктуры ночью 3 февраля Дарницкая ТЭЦ в Киеве потерпела значительные разрушения и временно прекратила работу.

Мэр Киева Виталий Кличко назвал сроки обновления.

ГСЧС разворачивает еще 36 пунктов обогрева в Дарницком районе и 27 - в Днепровском. Компания ДТЭК ввела максимально лояльные графики подачи электроэнергии для домов без теплоснабжения, чтобы уменьшить нагрузку на жителей в сложных условиях.


Следующая публикация

Я разрешаю TSN.UA использовать файлы cookie